SGK batıyor mu? Yapılan duyuru eyvah dedirtti
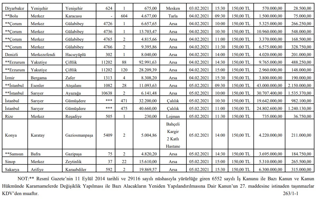
Sosyal Güvenlik Kurumu (SGK), 14 ilde arsa ihalesi, lojman satışı, konut satışı ihalesi ve tarla satışı gibi çok sayıda taşınmaz satışı için ihale yapacağını duyurdu.
SGK'dan yapılan açıklamada 14 şehirde kuruma ait; konut, lojman, tarla ve arsa gibi birçok taşınmazın satılığa çıkarılacağı ilan edildi.
14 Ocak 2021 tarihli Resmi Gazete ile yayımlanan ihale duyurusu kapsamında 14 farklı ilde satış yapılacağı açıklandı. Böylece aralarında Ankara, Bursa, Diyarbakır, Bolu, Çorum, Denizli, Erzurum, İzmir, İstanbul, Rize, Konya, Samsun, Sinop ve Sakarya'nın yer aldığı 14 ilde bulunan çok sayıda taşınmaz ihale yöntemi ile satışa sunuldu.
Yayımlanan duyuruda söz konusu açık artırmanın 2 Şubat 2021 tarihinde başlayacak olup her taşınmaz için ayrı ayrı ilanda belirtilen tarih ve saatte yapılmak üzere 5 Şubat 2021 tarihinde sona ereceği bildirildi.
İşte Resmi Gazete'de yer alan o ilan ve satılacak taşınmazlar:



Türkçe karakter kullanılmayan ve büyük harflerle yazılmış yorumlar onaylanmamaktadır.